light stabilizers

light stabilizers

UV-1130

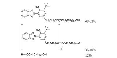
Chemical Name: Alpha-3-(3-(2Hbenzotriazol-2-yl)-5-tert-butyl-4-hydroxyphenyl)propionyl-omega hydroxypoly(oxyethylene); Alpha-3-(3-(2H-benzotriazol-2-yl)-5-tert-butyl-4-hydroxyphenyl)propionyl-omega-3-(3-(2H-benzotriazol-2-yl)-5-terbutyl-4-hydroxyphenyl)propionyloxypoly(oxyethylene)

Molecular Formula:H(OCH2CH2)nOH

Molecular Weight: 637,975,300

CAS No.:104810-48-2;104810-47-1;25322-68-3

Product Details

Properties

A wide range of liquid benzotriazole ultraviolet absorbent

Often used with hindered amine light stabilizer, to improve the resistance of paint loss of light, pulverization, bubbles, delamination, the performance of the color;Its liquid form is easy to mix with solvent-based coatings and water-based coatings systems.

Application

It is mainly used in coatings, plastics and light-sensitive substrates, and is often combined with HALS (Hindered Amine Light Stabilizers) to enhance weather resistance.

Storage

Keep container tightly closed in a cool, well-ventilated place.

The recommended max. storage life is 12 month when stored under normal conditions.

Product Specifications

Melting Range(℃): Liquid at room temperature

Product form: Yellow to light amber viscous liquid

Package:20kg/Drum;200kg/Drum

Kinetic viscosity@20℃:7200-7600mPa·s

+86 185 6167 6355

Leave a Message

Company

Name

Email

Phone

Message